Gödel à Brno


Qui connaît Brno?
Les auditeurs assidus (forcément!) de Denisa Kerschova sur France Musique, lorsqu'elle nous rappelle que cette ville de Moravie (et deuxième plus grande ville de la Rép
ublique Tchèque! ) vit naître le compositeur Leos Janaček, en roulant délicieusement le "r"... Mais à part eux?
Et pourtant... personne n'ignore un lieu distant d'à peine 20 km! 



Austerlitz, bien sûr!
Le lieu de la célèbre bataille du 2 décembre 1805, sommet du génie militaire de Napoléon 1er
Ci-contre, le champ de bataille et le "Monument à la Paix" érigé en mémoire de l'évènement.
  • à gauche:Louis-François Lejeune, "Bivouac à la veille de la bataille, 1er décembre 1805" (1808) [montré à l'exposition Napoléon à la Grande Halle de la Vilette, Paris 2021]
  • à droite  : Louis Bacler d'Albe, "Napoléon 1er visite les bivouacs à la veille de la bataille, 1er décembre 1805" (1806-1808) [montré à l'exposition Napoléon au musée d' Arras, 2018]
Ce deuxième tableau est typique de la com' napoléonienne: il présente l'empereur visitant les troupes incognito, mais reconnu et acclamé par ses hommes!
 



Outre
Janaček et le père de la  génétique Georg Mendel, Brno a aussi vu naître Kurt Gödel, et une plaque commémorative a été apposée sur la maison où il a vu le jour, le 28 avril 1906.

Descendons la large rue Pekařská jusqu'au numéro 5; c"est au niveau de la pharmacie, repérable de loin grâce à sa croix verte. Ah! Laissons passer le tramway... et découvrons la plaque, sur le côté gauche de la vitre. Elle signale en deux langues (Tchèque et Allemand) que c'est ici que
"le génial mathématicien, logicien et philosophe est né dans cette maison"
 

On peut remarquer le nom de la rue sur la plaque rouge sur  le fond gris du mur, au dessus de la porte, à gauche de l'image.
 





Relontons maintenant, non loin de là, la rue Pellicova: nous apervcevons déjà la maison où il a vécu durant son séjour à Brno (au fond de l'image ci-contre).
Elle est se situe au numéro 8a dela rue, c'est une assez grande villa ,




Et voici enfin le lycée om il a fait ses études secondaires de 1916 à 1924; le bâtiment na pas changé mais héberge aujourd'hui une école de design.


La suite de ses études se passera à Vienne, où il soutient sa thèse en 1929, puis démontre en 1931 le fameux théorème d'incomplétude qui le rendra célèbre.
Sa nationalité reflète les temps troublés de cette première moitié du XXème siècle: né dans l'empire Austro-Hongrois, il devient en 1918 citoyen tchécosslovaque au démantèlement de ce dernier, en tant que résident de Brno. En s'installant à Vienne, il opte pour la nationalité autrichienne (qui correspond davantage à ses origines, sa famille étant germanophone), devient automatiquement allemand en 1938 du fait de l'Anschluss.
En dépit de ses difficultés dans un environnement hostile et malgré ses nombreux voyages aux États Unis qui l'ont largement familiarisé avec ce pays , il ne se résigne à l'émigration que très tard, en 1940. Il ne sera citoyen américain qu'en 1948, après avoir passé avec succès l'examen réglementaire sur la Constitution... ce qui n'avait rien d'acquis par avance: son étude préalable du texte lui avait fait découvrir des contradictions logiques entre différents articles, et ses amis eurent toutes les peines du monde à le convaincre de réfréner son zèle logique lors de l'examen! 

Il s'installe définitivement à Princeton, où il travaille au prestigieux Institute for Advanced Studies. Il s'y fait des amis, dont un avec qui on le voit fréquemment en promenade (la scène est reproduite dans le film Oppenheimer!): dans son livre Gödel, Escher, Bach, Douglas Hofstadter publie une photo que nous reproduisons... en citant fidèlement la légende qu'il lui a donnée!



"Kurt Gödel en compagnie d'un paysan inconnu"


Illustration conçue par Hofstadter
pour la couverture de son ouvrage
Prouver qu'une théorie peut renfermer des théorèmes vrais sans qu'il soit possible de les démontrer est plutôt déroutant au premier abord... On peut donc se douter qu'aborder les théorèmes de Gödel nest pas des plus facile! Nous vous proposons en références deux ouvrages le permettant. Celui de Hofstadter, que l'on vient de citer, mêle avec délice et humour ce sujet à l'aspect aride avec l'art graphique d'Escher et le génie musical de Bach. Le second propose à la fois le texte original (traduit!) du logicien et une version retravaillée plus "moderne", ainsi qu'une réflexion en postface.

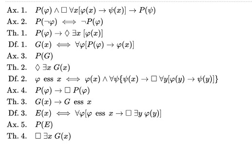
Pour un sourire final, et montrer que le grand logicien n'était pas dénué de sens de l'humour, nous faisons figurer, en bonne et dûe formalisation logique sa... preuve ontologique de l'existence de Dieu! (développement et explications dans l'article de Wikipedia dont nous avons extrait l'argumentation en 12 lignes...)
N'allez quand même pas jusqu'à en déduire que Gödel était... timbré!






Références

Livres


Sur la Toile



Revenir à la Home Page du Mathouriste