Steklov et l'Académie de Saint-Pétersbourg
On commémore en 2026 le centenaire de la dispartiion de Vladimir Andreïevitch Steklov (1864-1926), qui, non content d'avoir été un mathématicien de premier plan dans son pays, y joua un rôle clef dans la transition réussie de l'Académie Impériale des Sciences à l'Académie des Sciences d'URSS dans les années qui suivirent la Révolution d'Octobre:
|
|
"À
partir de 1919, devenu vice-président de l'Académie, Steklov donna le
plus clair de son temps à cette institution. Durant la guerrre civile,
les conflits armés, le déclin économique et les premières phases de la
reconstruction, il se révéla un brillant administrateur scientifique.
Pendant huit ans, il travailla sans relâche à maintenir, puis élargir,
les activités de l'Académie et à la réorganiser de manière
à rapprocher la science et les nécessités pratiques. Ce travail
couvrait tous les aspects de l'activité académique, de la réparation
des vieux bâtiments et du rétablissement du réseau des stations
sismiques à la publication de comptes-rendus et de livres,
l'approvisionnement des bibliothèques en publications étrangères, et
l'organisation de nouveaux instituts à l'intérieur de
l'Académie. C'est sur sa suggestion que fut organisé en 1921 l'Institut
de Physique et de Mathématiques qu'il dirigea jusqu'à son décès. En
1934 , celui-ci fut scindé en l'Institut de Physique Lebedev et l'Institut de Physique et de Mathématiques qui prit son nom."
A.P. Yuchkevitch in Dictionary of Scientific Biographies
|
Commençons donc par les lieux:
si vous avez eu le plaisir de visiter cette ville, vous les avez
sûrement vus -sans forcément y prêter toute l'attention qu'ils
méritent. Les bâtiments sont tout simplement à la pointe de l'île Vassilievsky (où se trouve également l'Université d'État) , de l'autre côté de la Néva par rapport au
musée de l'Ermitage, presque immédiatement à gauche après avoir
traversé la grande Néva (partie sud du fleuve après sa séparation en
deux branches autout de l'île; la petite Néva est au nord). En face
exactement de l'Amirauté et du fameux "Cavalier de bronze", points de
passage obligés de tous les touristes!
|
Et il est bien agréable de résider à proximité de son lieu de
travail... même (surtout?) quand on est académicien. Tout près de
l'Académie se trouve une maison qui a abrité plusieurs d'entre eux, et
ses murs sont couverts de grandes plaques commémoratives en bronze.
Elle est repéré sur les plans en tant que "musée Pavlov", car
l'appartement qu'y occupait le célèbre physiologiste a été aménagé pour
présenter des souvenirs de sa vie et de son travail. Mais le touriste
mathématicien remarque en premier les hommages à Steklov... et à Andreï
Markov!.
|
 |

La plaque à la mémoire de Steklov est à droite de la fenêtre...
... juste en dessous de celle à Pavlov!
|

"Ici vécut l'Académicien V.A. Steklov, éminent mathématicien"
|
C'est en 1906 que Steklov réussit à obtenir un poste de
professeur dans cette ville, après plusieurs années d'enseignement à
l'Institut de Technologie de Karkhov, où ses études avaient été dirigées
par Lyapounov. Très vite il aura la satisfaction d'avoir de brillants
élèves, dont plusieurs auront une place remarquable dans l'histoire des
mathématiques:
|
"Je
dois souligner le caractère exceptionnel de la promotion 1910. Dans
celle de 1911 et parmi les étudiants de quatrième année qui vont être
diplômés, aucun n'égale en savoir et en capacités Mrs Tamarkin, Friedmann, Bulygin, Smirnov, Shohat et autres. Je n'ai rien rencontré d'analogue en quinze ans d'enseignement à l'université de Karkhov."
V.A. Steklov
|
Ce Friedmann n'est autre que
celui qui a modélisé l'expansion de l'univers en même temps que l'abbé
Lemaître en Belgique (modèle de Friedmann-Lemaître). Leurs destins
furent différents, Smirnov et Friedmann demeurant en URSS tandis
que Tamarkin et Shohat choisirent de s'enfuir aux USA.
Dès lors sa carrière au sein de
l'Académie avance rapidement: il est élu membre étranger en 1910,
membre régulier en 1912, membre du comité exécutif en 1916, et enfin
vice-président en 1919. Pour autant, son ascension à la fin de l'époque
encore tsariste ne s'accompagne d'aucune complaisance pour le régime,
et ses positions contribuent à sa popularité parmi les nombreux
étudiants progressistes, Exemple de sa lucidité lorqu'à l'entrée en
guerre contre l'Allemagne, il note:
|
"Saint-Pétersbourg a été renommée Petrograd par décret impérial. De telles vétilles sont tout ce dont nos tyrans sont capables...
Avec des processions religieuses et l'extermination du peuple russe par
tous les moyens possibles. Salopards! Eh bien, attendez. Votre tour
viendra un de ces jours!"
V.A. Steklov, Journal personnel, 2 septembre 1914
|
En 1921, Steklov fait partie d'une délégation d'académiciens venus
discuter au Kremlin de la situation financière de l'Académie, un témoin
de marque était là:

Lénine (sculpteur inconnu)
Parc des statues déboulonnées, Moscou.
|
"Ils
parlèrent de la nécessité de réorganiser l'Académie à
Saint-Pétersbourg. Après avoir congédié ses visiteurs, Lénine déclara
avec satisfaction:
| «Voilà des hommes intelligents! Tout
est simple pour eux, tout est formulé avec rigueur; il est clair qu'ils
savent ce qu'ils veulent. C'est un plaisir de travailler avec de telles
personnes.» |
Deux jours plus tard, il m'appela au téléphone, nommant l'un des plus éminents savants:
| «Appelle Steklov, vois s'il est prêt à travailler avec nous.»
|
Quand il apprit que Steklov acceptait l'offre, Lénine laissa éclater sa joie; se frottant les mains, il plaisanta:
| «Attends un peu! Un Archimède après l'autre, nous aurons leur soutien à tous, en Russie et en Europe, et le Monde entier, qu'il le veuille ou non, changera de face!»
|
M. Gorki, Souvenirs sur Lénine
| 
M. Gorki, plaque souvenir
à l'entrée de sa maison, à Moscou
|
|
Une Transformation... et des Mathématiques Fouriéristes!
Transformer le monde... un peu plus dur que prévu, sans doute. Mais transformer les fonctions, c'est l'une des raisons de la notoriété de Steklov, comme le souligne ce timbre soviétique très réussi:
Si vous n'avez pas l'habitude de fréquenter les intégrales
(ce truc qui ressemble à une ouïe de violon...), ne paniquez pas: c'est
un fait, vous ne savez pas ce que vous perdez, c'est formidable! Rien
de mystérieux pourtant: c'est seulement un S étiré, symbole choisi
parce qu'il s'agit de faire une Somme. Ici, on somme (continûment) toutes les valeurs autour de x, sur un intervalle de longueur h. En divisant par cette même longueur,
la transformée de Steklov réalise la moyenne des valeurs d'une fonction f sur le segment [x-h , x+h].
Comme toute moyenne, elle régularise la fonction, la lisse, et -si tout se passe bien!- s'approche de f(x) lorsque h tend vers 0.
Cette idée, introduite en 1907 par Steklov, sera développée et amplifiée par Sergueï Sobolev dans le concept de suite régularisante, si utile dans la théorie des distributions.
Et cette transformation apparaît pour la première fois en 1907, dans un article en Français ! aux Comptes-Rendus de l'Académie des Sciences.
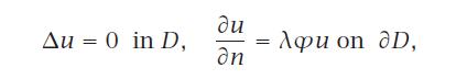
Dès 1895, une communication à la Société Mathématique de Kharkov
atteste l'intérêt de Steklov pour un problème de Laplace avec
conditions au bord (portant sur la dérivée normale de la fonction)
Ce type d'équation a ensuite été nommé, en son honneur, problème de Steklov.
En 1922, il développe le sujet des fonctions propres du laplacien dans
un ouvrage consacré à la physique mathématique (ci-contre).
D'ailleurs, beaucoup de ses travaux étaient liés à l'Analyse de
Fourier, et il fut le premier à établir en 1896, pour les fonctions
continûment dérivables, l'inégalité dont fut crédité Wirtinger une
vingtaine d'années plus tard:
Sa preuve repose sur l'idée qu'emploiera en 1901 Hurwitz
pour établir l'inégalité isopérimétrique (à lire à la fin de notre
page: De Pythagore à Parseval)
|
|
Un dernier (et discret...) hommage
Voici l'entrée de l'Institut de Mathématiques, à St-Petersbourg; il est situé sur le quai de la rivière Fontanka (bras secondaire de la Néva, au sud de celle-ci); c'est ce qu'indique la plaque bleue, tandis que la grise, en dessous, mentionne la fonction du lieu et le nom de Steklov.
Bibliographie et Liens